quarta-feira, 6 de março de 2019

0

Uma breve história dos números

O conceito

imageA construção e o desenvolvimento dos conjuntos numéricos aparece como resultado das necessidades que o ser humano teve, em algum período da história, de criar um símbolo que desse significado matemático a certas operações que até então não o tinham.


O conjunto dos números naturais

imageÉ o primeiro conjunto de que se tem notícia. Foi criado a partir da simples necessidade que o homem tem de contar. É representado pelo símbolo N e formado pelos seguintes elementos:

N = {0, 1, 2, 3, 4, 5, ⋯}



O conjunto dos números inteiros

imageÉ uma ampliação do conjunto dos números naturais. Nasceu da necessidade de se criar um símbolo que representasse, na operação de subtração, o resultado que se obtém quando de uma quantidade menor se pretende tirar uma maior. É representado pelo símbolo Z e formado pelos seguintes elementos:

Z = { ⋯, -3, -2, -1, 0, +1, +2, +3, ⋯}



O conjunto dos números racionais

imageOs números racionais surgiram da necessidade de representar partes de um inteiro. É representado pelo símbolo Q e formado pelos seguintes elementos:

image


De maneira simplificada, os números racionais são aqueles que podem ser escritos na forma de fração, onde o numerador e o denominador são números inteiros.


O conjunto dos números irracionais

imageOs números irracionais são aqueles que não podem ser escritos na forma de fração, sendo números decimais, infinitos e não-periódicos. É representado pelo símbolo I.

Como exemplos de números irracionais podemos citar:

image

image

image

image

O conjunto dos números reais

imageO conjunto dos números reais é uma expansão do conjunto dos números racionais que engloba não só os inteiros e os fracionários, positivos e negativos, mas também todos os números irracionais. É representado pelo símbolo R.

image





Resolvendo uma equação do 2º grau

Vamos encontrar as raízes da equação: x2- 6x + 10 = 0

Utilizando a fórmula de Bhaskara:

 image

image

image

image

Não há como encontrar as raízes dessa equação pois não existe no conjunto dos números reais um número que elevado ao quadrado resulte em – 4 !!!!

O conjunto dos números complexos

O conjunto dos números complexos surgiu da necessidade de se encontrar as raízes não reais de equações de grau maior ou igual a 2 e dar um significado matemático às raízes quadradas de números negativos.

imageEm 1545, Girolamo Cardano (1501-1576) falou das raízes quadradas de números negativos e, em 1572, Rafael Bombelli (1526-1572) percebeu que equações do tipo x2+a = 0 só poderiam ser resolvidas com o auxílio de números que mais tarde viriam a ser designados de imaginários por Descartes.







imageFoi criada, então, uma unidade imaginária a que Leonard Euler (1707-1783), em 1777, passou a representar pela letra i, de tal maneira que:

image






imageMas foi Caspar Wessel (1745-1818) que em 1797 utilizou pela primeira uma representação gráfica para os números complexos.








imageEntretanto, somente por volta de 1806, a partir de um trabalho publicado por Jean Robert Argand (1768-1822), a representação geométrica dos números complexos ganhou o devido respeito.








imageSomente no século XVIII é que esses estudos foram formalizados pelo matemático Carl Friedrich Gauss (1777-1855) que, em 1832, utilizou pela primeira vez a expressão “número complexo”.







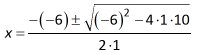
Retomando a resolução da equação do 2º grau

Vamos encontrar as raízes da equação: x2- 6x + 10 = 0

Utilizando a fórmula de Bhaskara:

 image

image

image

image

image

image

image

Chamadas de raízes complexas da equação.

Os conjuntos numéricos

image


Francisco Ismael Reis

Assinatura

06/03/2019

Nenhum comentário:

Postar um comentário

Related Posts Plugin for WordPress, Blogger...